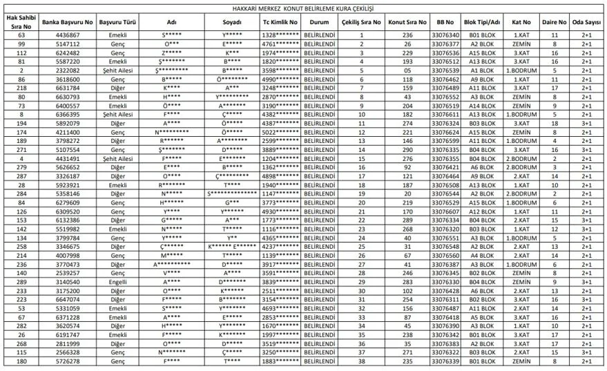
Toplu Konut İdaresi Başkanlığı (TOKİ), 250 bin Sosyal Konut Kampanyası çerçevesinde Hakkari Merkez’de hayata geçirilen 300 Konut Projesi için yapılan kura çekiminin, Gazi Mahallesi 339 Adet Konut Projesi içerisinde noter huzurunda gerçekleştirildiğini duyurdu.
TOKİ’den yapılan açıklamada, hak sahipliği onaylanan vatandaşlar arasından 292 konutun şeffaf bir şekilde sahiplerine teslim edildiği ifade edildi. Kura çekimi, TOKİ’nin resmi YouTube kanalı üzerinden canlı olarak yayınlanarak vatandaşların kurayı anbean takip etmesine imkân sağladı.
Salonun tamamen dolduğu kura töreninde hak sahipleri büyük bir heyecan yaşadı. İsmi okunan vatandaşlar mutluluklarını aileleriyle paylaşırken, salonda duygusal anlar da yaşandı.
Yetkililer, kura sonrası yaptıkları açıklamada, projede çalışmaların hız kesmeden sürdüğünü, konutların en kısa sürede tamamlanarak hak sahiplerine teslim edilmesinin hedeflendiğini belirtti. TOKİ’nin Türkiye genelinde yürüttüğü sosyal konut projeleriyle dar gelirli vatandaşları ev sahibi yapma çalışmalarının devam ettiği kaydedildi.
“İlk Evim, İlk İş Yerim” projesi kapsamında Hakkari’de kurada ismi açıklanan hak sahiplerinin isim listesi ise…














